Vector Labs代理,歡迎訪問Vector Labs官網或者咨詢我們獲取相關Vector Labs產品信息以及報價。
Vector Labs 公司是世界著名的生物學檢測試劑公司,七十年代其在全球首推的生物素-親和素系統引領了生物學檢測方法的重大革命,該系統被普遍視為目前最靈敏、最可靠與最有效的染色系統,并被廣泛應用于免疫組織化學、免疫電鏡、原位雜交與凝集素化學中。該系統仍在不斷地發展,以滿足廣大研究人員的各種不同要求。Vector 公司還是世界上凝集素產品的主要供應商,并提供大量的新產品,如酶底物、神經元示蹤劑及蛋白質、糖類與核酸的標記、分離與檢測試劑。
HRP–Antibody All-in-One™ Conjugation Kit
Description
The?HRP-antibody All-in-One Conjugation Kit contains everything needed to make two HRP-antibody conjugates from 100 μg of any user-supplied antibody. Included in the kit are purification columns to remove unconjugated HRP and antibody, which produces conjugates with superior levels of detection and low non-specific binding.
Specifications
| Conjugation Targets | Antibody |
|---|---|
| Label/Modifier Type | HRP |
| Reactivity | Amine |
| Recommended Storage | 2° – 8°C – Do Not Freeze |
| Applications | Antibody Labeling, In Situ Proximity Ligation |
Kit Components
- S-HyNic (2 x 100 μg)
- 4FB-HRP (2 x 100 μl)
- 1X Modification Buffer (10 mL)
- Q Binding Buffer A (5 mL)
- Q Elution Buffer A (1.6 mL)
- Red Cap Spin Column (2)
- Yellow Cap Spin Column B?(2)
- Brown Cap Spin Column B?(2)
- Blue Cap Spin Column B (2)
- Q Spin Column?(2)
- Q Collection Tube (4)
- Anhydrous DMF (1.5 mL)
- 30K MWCO VivaSpin? Filter (2)
- 2 mL Collection Tube (16)
Documents
- User Guide
- Using a NanoDrop to Measure Antibody Concentration
- Concentration of Dilute Antibody Solutions
- Safety Data Sheet
- Troubleshooting Guide – Bioconjugation
- Bradford Assay Protocol
- BCA Protein Assay Protocol
- Bioconjugation White Paper
- Download CoA
- Datasheet
Citations
Technical Information
A. Product Description
Each HRP‐antibody All‐in‐One Conjugation Kit provides all the necessary components to generate two (2) highly purified antibody-HRP conjugates. The kit requires the user to provide 100 μg of starting antibody for each conjugate. The components of this unique kit feature a pre‐activated, high‐activity horseradish peroxidase (>250U/mg) as well as a novel Q spin filter to purify the conjugate in high yield. Conjugates produced are free of both residual antibody and HRP, thus providing maximum signal to noise ratio in your assay. Any suitably purified monoclonal or polyclonal mammalian antibody (regardless of IgG subclass) can be conjugated and purified within 5 hours (~1 hour hands‐on).
All‐in‐One?conjugation kits are based on the SoluLINK bioconjugation technology. This chemistry involves the reaction of an aromatic hydrazine with an aromatic aldehyde to form a stable hydrazone bond. This conjugation is so efficient that it converts 100% of the antibody to the conjugate form. This linking efficiency is made possible because of the recent discovery that small quantities of aniline catalyze hydrazone bond formation between the two functional groups (1, 2, 3). Aniline increases both the rate and efficiency of conjugate formation under mild reaction conditions, leading to quantitative conversion of free antibody to HRP conjugate.
Complete conversion of antibody to conjugate greatly simplifies downstream purification. Purification consists of selectively binding the conjugate to a novel Q spin filter membrane that allows excess HRP to flow through unbound. The spin filter provides high purity without sacrificing conjugate yield. Conjugates made with All‐in‐One?kit are compatible with all downstream applications such as western blots, ELISAs, or IHC. Each kit provides sufficient reagents to perform two (2) conjugation reactions; each yielding between 50‐70 μg of high purity HRP‐antibody conjugate.
B. All‐in‐One?Technology
Conjugation Chemistry
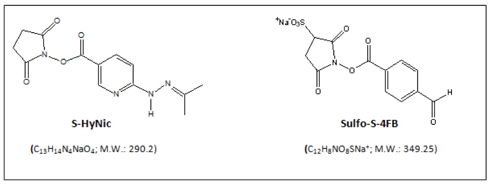
The SoluLINK bioconjugation technology is based on the use of two complementary heterobifunctional linkers; S‐HyNic and Sulfo‐S‐4FB (Figure 1). S‐HyNic (Succinimidyl‐6‐hydrazino‐nicotinamide) is first used to modify and incorporate protected aromatic hydrazines (HyNic groups) into the antibody via acylation of lysine residues. In a similar fashion a second linker, Sulfo‐S‐4FB (Sulfo‐N‐succinimidyl‐4‐formylbenzamide) is used to provide a pre‐activated high activity HRP called 4FB‐HRP (included). Incubation of HyNic‐modified antibody with pre‐activated 4FB‐HRP in the presence of aniline catalyst leads to rapid and efficient conversion of the antibody to conjugate through formation of stable bis‐aryl hydrazone bonds (Figure 2).


Conjugate Purification
The efficiency of aniline‐catalyzed hydrazone bond formation greatly simplifies conjugate purification. Aniline’s ability to increase both the rate and efficiency of conjugate formation under mild reaction conditions leads to quantitative conversion of free antibody to conjugate. The complete absence of free antibody at the end of the catalyzed reaction leaves only two components; excess HRP and conjugate. After conjugation, a novel Q spin filter is used to selectively bind the conjugate based on known biophysical properties of IgG (4, 5) while allowing free HRP to flow through. Purified conjugate can then be eluted from the filter membrane free of both residual antibody and HRP in high yield (50‐70 μg).

C. All‐in‐One?Conjugation Process Summary

Intellectual Property
SoluLINK? Bioconjugation For Research Use Only. Not for use in diagnostic procedures. For additional licensing restrictions, please see the license agreement at vectorlabs.com/solulink-research-license.
Products are for research use only, not for use in diagnostic or therapeutic procedures or for use in humans. Products are not for resale without express written permission of Seller. No license under any patent or other intellectual property right of Seller or its licensors is granted or implied by the purchase unless otherwise provided in writing.
TriLink does not warrant that the use or sale of the products delivered hereunder will not infringe the claims of any United States or other patents or patents pending covering the use of the product alone or in combination with other products or in the operation of any process. All and any use of TriLink product is the purchaser’s sole responsibility.